
DNS란
- 사용자가 숫자로 된 인터넷 프로토콜 주소 대신 인터넷 도메인 이름과 검색 가능한 URL을 사용하여 웹사이트에 접속하는 것을 가능
- 사용자는 93.184.216.34와 같은 IP 주소를 기억하는 대신 www.example.com을 검색할 수 있음
- 스마트폰의 전화번호부에 비유할 수 있음. 사용자는 개별 전화 번호를 기억하는 대신 성과 이름으로 쉽게 검색 가능한 전화번호부에 저장하여 손쉽게 번호를 찾을 수 있다.
DNS의 종류
- 퍼블릭 DNS: 일반적으로 인터넷 서비스 제공업체(Internet service provider, ISP)가 기업에 IP 레코드를 제공합니다. 이러한 레코드는 일반 대중에게 제공되며, 사용 중인 디바이스 또는 디바이스에 연결된 네트워크에 상관없이 누구나 액세스할 수 있습니다.
- 프라이빗 DNS: 프라이빗 DNS는 회사의 방화벽 뒤에 존재하며 내부 사이트의 레코드만을 보관한다는 점에서 퍼블릭 DNS와 다릅니다. 이 경우 프라이빗 DNS의 범위는 내부 사이트 및 사용되는 서비스의 IP 주소를 기억하는 것으로 제한되며, 프라이빗 네트워크 외부에서 액세스할 수 없습니다.
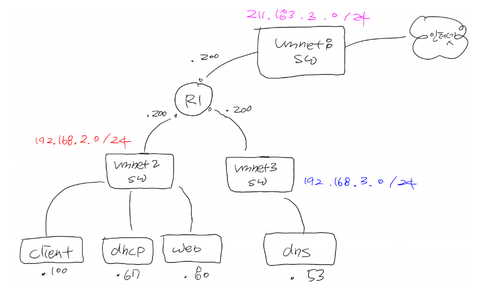
실습


존파일 예제파일은 /var/named/named.empty에서 확인할 수 있다.

$TTL 3H
@ SOA @ root (
0 ; serial
1D ; refresh
1H ; retry
1W ; expire
3H ) ; minimum
IN NS @
IN A 211.183.3.80
www IN A 211.183.3.80
ftp IN A 211.183.3.21
dhcp IN A 211.183.3.67





실습 2








실습 3





















'AWS Cloud School' 카테고리의 다른 글
| [04.12] SSH, FTP, TFTP, PxE (0) | 2024.04.12 |
|---|---|
| [04.11] NFS (0) | 2024.04.11 |
| [04.08] DHCP서버 구축(GNS3) (0) | 2024.04.08 |
| [04.05] 정적 웹서버(Apache), 정적 웹페이지 구축 (0) | 2024.04.05 |
| [04.04] Linux Directory structure, Apache install/practice (0) | 2024.04.04 |