다이나믹 프로그래밍
컴퓨터는 연산 속도에 한계가 있고, 메모리 공간을 사용할 수 있는 데이터의 개수도 한정적이다. 그래서 우리는 연산 속도와 메모리 공간을 최대한으로 활용할 수 있는 효율적인 알고리즘을 작성해야 한다. 어떤 문제에서는 메모리 공간을 약간 더 사용하면 연산 속도를 비약적으로 증가시킬 수 있는 방법이 있다. 대표적인 방법이 다이나믹 프로그래밍 기법으로 동적 계획법이라고 표현하기도 한다.
피보나치 수열
다이나믹 프로그래밍의 대표적인 예시인 피보나치 수열을 보자. 피보나치 수열은 이전 두항의 합을 현재의 항으로 설정하는 특징이 있는 수열이다. 피보나치 수열은 다음과 같은 형태로 끝없이 이어진다.

이를 점화식으로 나타냈을 때 알 수 있는 특징은 다음과 같다.
- f(n) = f(n - 1) + f(n - 2), f(1) = f(2) = 1
- n번째 피보나치 수 = (n - 1)번째 피보나치 수 + (n - 2)번째 피보나치 수
- 단, 1번째 피보나치 수와 2번째 피보나치 수 = 1
프로그래밍에서는 이러한 수열을 배열이나 리스트로 표현할 수 있다. 수열 자체가 여러 개의 수가 규칙에 따라서 배열된 형태를 의미하는 것이기 때문이다.
그렇다면 이 점화식에 따라서 실제로 피보나치 수를 구하는 과정을 어떻게 표현할 수 있을까? n번째 피보나치 수를 f(n)이라고 표현할 때 4번째 피보나치 수 f(4)를 구하려면 다음과 같이 함수 f를 반복해서 호출할 것이다. 그런데 f(2)와 f(1)은 항상 1이기 때문에 f(1)이나 f(2)를 만났을 때는 호출을 정지한다.

수학식 점화식을 프로그래밍으로 표현하려면 다음과 같이 재귀 함수를 사용하면 간단하다.
# 피보나치 함수(Fibonacci Function)을 재귀함수로 구현
def fibo(x):
if x == 1 or x == 2:
return 1
return fibo(x - 1) + fibo(x - 2)
print(fibo(4))
피보나치 수열 - DP를 이용한 해법
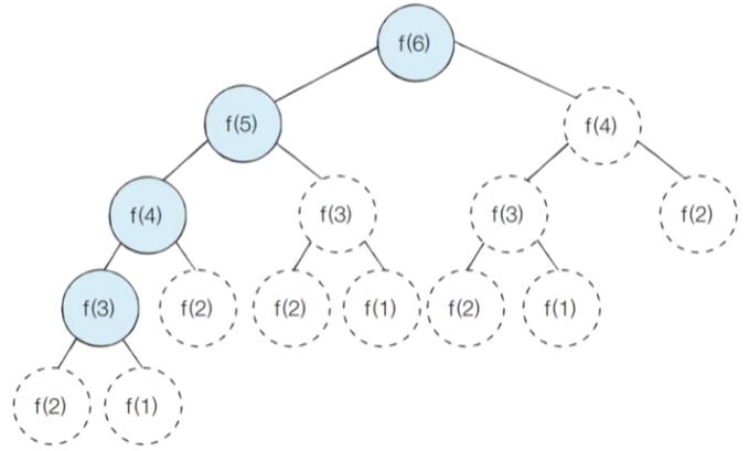
그런데 피보나치 수열의 소스코드를 이렇게 작성하면 심각한 문제가 생길 수 있다. 바로 f(n) 함수에서 n이 커지면 커질수록 수행 시간이 기하급수적으로 늘어나기 때문이다. 이 소스코드의 시간 복잡도는 일반적으로 빅오 표기법을 이용하여 O(2ᴺ)의 지수 시간이 소요된다고 표현한다. 예를 들어 N = 30이면, 약 10억 가량의 연산을 수행해야 한다. f(6)일 때의 호출 과정을 그림으로 확인해보자.

그림에서 f(2)는 총 2번 호출되었다. 이미 한 번 계산했지만, 계속 호출할 때마다 계산하는 것이다. n이 커지면 커질수록 반복해서 호출하는 수가 많아진다. n = 100이라면 일반적인 컴퓨터로는 우리의 수명이 다할 때까지 연산을 진행해도 답을 도출할 수 없다.
이처럼 피보나치 수열의 점화식을 재귀 함수를 사용해 만들 수는 있지만, 단순히 매번 계산하도록 하면 문제를 효율적으로 해결할 수 없다. 이러한 문제는 다이나믹 프로그래밍을 사용하면 효율적으로 해결할 수 있다. 다만, 다이나믹 프로그래밍은 다음 조건을 만족할 때 사용할 수 있다.
- 큰 문제를 작은 문제로 나눌 수 있다.
- 작은 문제에서 구한 정답은 그것을 포함하는 큰 문제에서도 동일하다.
피보나치 수열은 이러한 조건을 만족하는 대표 문제이다. 이 문제를 메모이제이션(Memoization)기법을 사용해서 해결해보자. 메모이제이션은 다이나믹 프로그래밍을 구현하는 방법 중 한 종류로, 한 번 구한 결과를 메모리 공간에 메모해두고 같은 식을 다시 호출하면 메모한 결과를 그대로 가져오는 기법을 의미한다. 메모이제이션은 값을 저장하는 방법이므로 캐싱(Cashing)이라고도 한다.
그렇다면 실제로 메모이제이션은 어떻게 구현될 수 있을까? 단순히 한 번 구한 정보를 리스트에 저장하는 것이다.
다이나믹 프로그래밍을 재귀적으로 수행하다가 같은 정보가 필요할 때는 이미 구한 정답을 그래도 리스트에서 가져오면 된다. 다음과 같이 소스코드를 작성해보자.
# 피보나치 수열: 탑다운 다이나믹 프로그래밍 소스코드
# 한 번 계산된 결과를 메모이제이션(Memoization)하기 위한 리스트 초기화
d = [0] * 100
# 피보나치 함수(Fibonacci Function)를 재귀함수로 구현(탑다운 다이나믹 프로그래밍)
def fibo(x):
# 종료 조건(1 혹은 2일 때 1을 반환)
if x == 1 or x == 2:
return 1
# 이미 계산한 적 있는 문제라면 그대로 반환
if d[x] != 0:
return d[x]
# 아직 계산하지 않은 문제라면 점화식에 따라서 피보나치 결과 반환
d[x] = fibo(x - 1) + fibo(x - 2)
return d[x]
print(fibo(99))
실행해보면 99번째 피보나치 수를 구하도록 했음에도 불구하고 금방 정답을 도출하는 것을 볼 수 있다.
정리하자면 다이나믹 프로그래밍이란 큰 문제를 작게 나누고, 같은 문제라면 한 번씩만 풀어 문제를 효율적으로 해결하는 알고리즘 기법이다. 큰 문제를 작게 나눈다는 것은 분할 정복 알고리즘과 비슷해보인다. 둘의 차이점은 다이나믹 프로그래밍은 문제들이 서로 영향을 미치고 있다는 점이다.
분할정복의 예시인 퀵 정렬을 보면, 한 번 기준 원소가 자리를 변경해서 자리를 잡게 되면 그 기준 원소의 위치는 더 이상 바뀌지 않고 그 피벗값을 다시 처리하는 부분 문제는 존재하지 않는다. 반면에 다이나믹 프로그래밍은 한 번 해결했던 문제를 다시금 해결한다는 점이 특징이다. 그렇기 때문에 이미 해결된 부분 문제에 대한 답을 저장해 놓고, 이 문제는 이미 해결이 됐던 것이니까 다시 해결할 필요가 없다고 판단하여 반환하는 것이다. 예를 들어 재귀함수를 이용하는 방법(메모이제이션)에서는 한 번 푼 문제는 그 결과를 저장해 놓았다가 나중에 동일한 문제를 풀어야 할 때 이미 저장한 값을 반환한다. f(6) 해법을 다시 메모이제이션 기법을 이용하여 그려보면 6번째 피보나치 수를 호출할 때는 다음 그림처럼 색칠된 노드만 방문하게 된다.

처음 방식으로 호출했던 부분은 점선으로 노드를 표현했는데 사실상 호출되지 않는다고 보자. 왜냐하면 호출하더라도 따로 계산하지 않고 리스트에서 값을 가져오거나 바로 1을 반환하기 때문이다. 물론 재귀 함수를 사용하면 컴퓨터 시스템에서는 함수를 다 시 호풀했을 때 메모리 상에 적재되는 일련의 과정을 따라야 하므로 오버헤드가 발생할 수 있다. 따라서 재귀 함수 대신에 반복물을 사용하여 오버헤드를 줄일 수 있다. 일반적으로 반복문을 이용한 다이나믹 프로그래밍이 더 성능이 좋다. 다이나믹 프로그래밍을 적용했을 때의 피보나치 수열 알고리즘의 시간 복잡도는 O(N)이다.
이와 같이 재귀 함수를 이용하여 다이나믹 프로그래밍 소스코드를 작성하는 방법을, 큰 문제를 해결하기 위해 작은 문제를 호출한다고 하여 탑다운(Top-Down)방식이라고 말한다. 반면에 단순히 반복문을 이용하여 소스코드를 작성하는 경우 작은 문제부터 차근차근 답을 도출한다고 하여 바텀업(Bottom-Up)이라고 말한다.
피보나치 수열을 반복문을 이용해 구현하는 코드도 보자.
# 피보나치 수열: 보텀업 다이나믹 프로그래밍 소스코드
# 앞서 계산된 결과를 저장하기 위한 DP 테이블 초기화
d = [0] * 100
# 첫번째 피보나치 수와 두번째 피보나치 수는 1
d[1] = 1
d[2] = 1
n = 99
# 피보나치 함수(Fibonacci Function) 반복문으로 구현(보텀업 다이나믹 프로그래밍)
for i in range(3, n + 1):
d[i] = d[i - 1] + d[i - 2]
print(d[n])
탑다운(메모이제이션) 방식은 '하향식'이라고도 하며, 바텀업 방식은 '상향식'이라고도 한다. 다이나믹 프로그래밍의 전형적인 형태는 바텀업 방식이다. 바텀업 방식에서 사용되는 결과 저장용 리스트는 'DP 테이블'이라고 부르며, 메모이제이션은 탑다운 방식에 국한되어 사용되는 표현이다.
다이나믹 프로그래밍과 메모이제이션의 개념을 혼용해서 사용하는 경우도 있는데, 엄밀히 말하면 메모이제이션은 이전에 계산된 결과를 일시적으로 기록해 놓는 넓은 개념을 의미하므로, 다이나믹 프로그래밍과는 별도의 개념이다.
'Algorithm > Dynamic Programming' 카테고리의 다른 글
| [Algorithm] 최장 증가 부분 수열(LIS) (0) | 2023.02.23 |
|---|---|
| [Algorithm] 1로 만들기 (0) | 2023.02.18 |